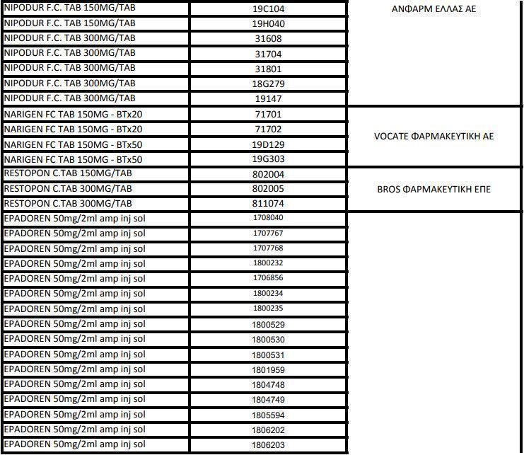
Στο πλαίσιο της παρακολούθησης των εξελίξεων σχετικά με την ανίχνευση της ουσίας NDMA σε φαρμακευτικά προϊόντα με ρανιτιδίνη, ο ΕΟΦ προχώρησε στην ανάκληση όλων των παρτίδων των φαρμακευτικών προϊόντων PTINOLIN inj. sol. 50mg/2amp, LUMAREN FC TAB 150 MG και LUMAREN INJ 50MG/2ML και όλες τις παρτίδες των φαρμακευτικών προϊόντων ZANTACEF.TAB150MG/TAB, ZANTAC F.C.TAB 150MG/TAB και ZANTAC INJ.SOL 50MG/2ML AMP, τα οποία περιέχουν τη δραστική ουσία ρανιτιδίνη.
Ο Ευρωπαϊκός Οργανισμός Φαρμάκων (ΕΜΑ) και ο Αμερικανικός Οργανισμός Φαρμάκων, (FDA) ξεκίνησαν την επανεξέταση των φαρμάκων που περιέχουν ρανιτιδίνη αφού σχετικές δοκιμασίες έδειξαν ότι ορισμένα από αυτά τα προϊόντα περιείχαν μια πρόσμιξη που ονομάζεται N-νιτροζοδιμεθυλαμίνη (NDMA), η οποία ταξινομείται ως πιθανή καρκινογόνος ουσία στον άνθρωπο (ουσία που μπορεί να προκαλέσει καρκίνο) βάσει μελετών σε ζώα.
Τα φάρμακα που περιέχουν ρανιντιδίνη χρησιμοποιούνται ευρέως για να μειώσουν την παραγωγή γαστρικού οξέος σε ασθενείς με καταστάσεις όπως αίσθημα καύσου στο στομάχι και έλκη στομάχου. Διατίθενται χωρίς ιατρική συνταγή και με συνταγή, και έχουν εγκριθεί από τις εθνικές αρχές και διατίθενται ως δισκία και ενέσιμα σκευάσματα.


