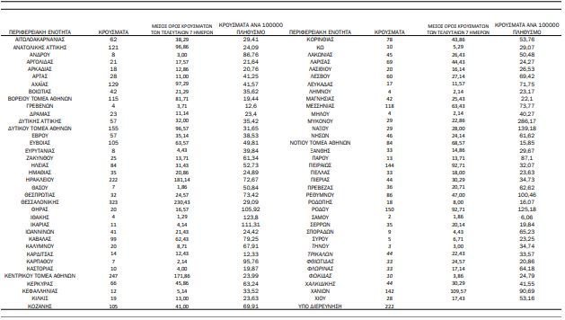
Στην Αττική καταγράφονται για ακόμα ένα 24ωρο τα περισσότερα νέα κρούσματα κορονοϊού στην Ελλάδα και την Τρίτη 17 Αυγούστου, σύμφωνα με την κατανομή των κρουσμάτων που ανακοίνωσε ο ΕΟΔΥ.
Συγκεκριμένα από τα συνολικά 4.206 κρούσματα κορονοϊού, στην Αττική καταγράφονται 969 νέα κρούσματα και στη Θεσσαλονίκη καταγράφονται 323. Στην Κρήτη εντοπίζονται 470 κρούσματα το τελευταίο 24ωρο.
Η κατανομή των κρουσμάτων:
